ZWIN-AQMS06微型空氣質量監測儀是我公司推出的一款用于提供室外空氣污染物實時、準確監測經濟型產品,采用泵吸式采樣方法,集成電化學氣體傳感器、激 光散射法顆粒物傳感器、氣象傳感器等實現空氣自動監測,為網格化平臺提供強大的數據基礎,可根據現場進行數據校正,確保數據具有最佳的可追溯性。應用在城市大氣環境監測、企業環境監測、工廠廠區無組織排放污染氣體監測等。
ZWIN-AQMS06微型環境空氣質量監測系統采用顆粒氣體分路進氣,其中顆粒物采樣頭內置切割器,并帶有加熱除濕功能,當環境濕度達到一定閾值可開啟加熱除濕功能多,達到水汽分離效果,減小濕度度監測數值的影響;其內部配置7寸液晶顯示屏,可查看實時數據及系統操作配置、可實現系統程序更換、升級;配置工業主控板,采用熱插拔SD卡存儲系統程序,方便操作;視頻監控可實現視頻疊加、超標抓拍等功能;LED顯示屏用于直觀的顯示現場所測空氣數據,所顯示的數據可以由客戶通過主機內置7寸觸摸顯示屏自行設定;可實現太陽能板供電。
氣體(SO2、NO2、CO、O3)檢測原理:電化學原理
電化學傳感器的最簡單形式是兩電極——工作電極和對電極,它們被一層很薄的電解液隔開,并與一個低阻的外部電路相連。氣體透過多孔透氣膜(Capillary Diffusion Barrier)作用于工作電極(S)表面,經氧化或還原反應,引起電流通過外部電路在兩極之間流動,該電流與氣體濃度成正比,可以通過外部電路上的負載電阻測得。
為了保證測量結果的準確性,工作電極(S)必須被限定在一個特定的電位。然而,當氣體濃度增加時,電流也隨之增加,使極化電極——對電極(C)的電位發生變化。由于工作電極(S)與對電極(C)之間是通過外電路負載電阻相連的,所以當對電極(C)電位發生變化時,工作電極(S)的電位也會隨之發生變化。如果氣體濃度繼續上升,工作電極(S)的電位將最終超出它的允許范圍,導致傳感器的線性遭到破壞,影響測量的準確性。為了克服這種現象,就要加入參比電極(R)及外部的恒電位電路,使工作電極(S)保持在一個與參比電極(R)相對穩定的電位。由于參比電極(R)不汲取電流,所以兩個電極都可以保持一個恒定的電位,而對電極(C)依舊可以自由的極化,不會影響工作電極(S)的電位,減少了對傳感器的限制,所以這種三電極的傳感器測量范圍非常寬,而且靈敏度很高,可以測定到ppm水平。

恒電位電解式傳感器應用電路實例
此外,恒電位電解式傳感器可以通過選擇不同的催化劑,來測定不同的氣體。每種氣體在工作電極(S)產生的氧化或還原反應都可以用標準的化學公式來描述,以一氧化碳傳感器為例:Carbon Monoxide (CO):
CO + H2O ?CO2?+ 2H+ + 2e-
其它傳感器:
Hydrogen Sulphide (H2S): H2S + 4H2O ?H2SO4?+ 8H+?+ 8e-
SulphurDioxide (SO2): SO2?+ 2H2O ?H2SO4?+ 2H+?+ 2e-
Nitric oxide (NO): NO + 2H2O ?HNO3?+ 3H+?+ 3e-
Nitrogen dioxide (NO2): NO2?+ 2H+?+2e-??NO +H2O
Hydrogen (H2): H2??2H+?+ 2e-
Chlorine (Cl2): Cl2?+ 2H+?+ 2e- ?2HCl
Hydrogen Cyanide (HCN): 2HCN +Au ?HAu(CN)2?+ H+?+e-
Ethylene Oxide (C2H4O): C2H4O + 2H2O ?C2H4O3?+ 4H+?+4e-
Ammonia (NH3): 12NH3?+ I2?+ 6H2O ?2IO3-?+ 12NH4+?+ 10e-
在對電極(C)上的反應與工作電極(S)的反應響抵。如果在工作極上發生氧化反應,氧氣減少,在對電極上形成水;反之,如果在工作極上發生還原反應,對電極上的水將被氧化。在對電極上的反應為:
?O2?+ 2H+?+ 2e-??H2O
將兩個電極的反應概括起來(以一氧化碳為例)可以寫成:
2CO + O2 ?2CO2
由上式可以看出,氧化或還原反應的燃料是由氣體向傳感器提供的,并產生一個釋放氣體。換句話說,傳感器只是一個供給反應用的催化劑。

檢測原理動圖

顆粒物(PM2.5、PM10)檢測原理——激光散射法
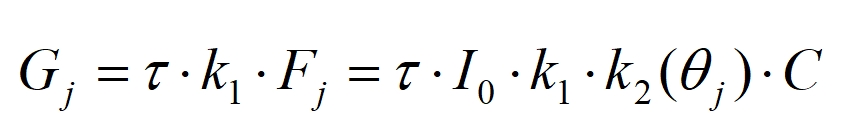
激光散射法測定顆粒物的原理?是基于?光散射理論。當激光束通過含有顆粒物的氣體時,顆粒物會阻擋光束,導致光束發生散射。散射光的傳播方向與主光束的傳播方向形成一個夾角θ,θ的大小與顆粒的大小有關。顆粒越大,產生的散射光的θ角就越小;顆粒越小,產生的散射光的θ角就越大。通過測量不同角度上的散射光的強度,可以推算出顆粒的?粒徑分布。

對于光束上某一散射角,散射光能和相機響應灰度值關系為:

對于光束上所有的散射角,散射光能和相機響應灰度值關系為:



檢測原理動圖

您好!請登錄